动态CGE模型主要包括了生产模块、贸易模块、居民模块、政府模块、闭合模块和动态模块等六个模块。
(1)生产模块
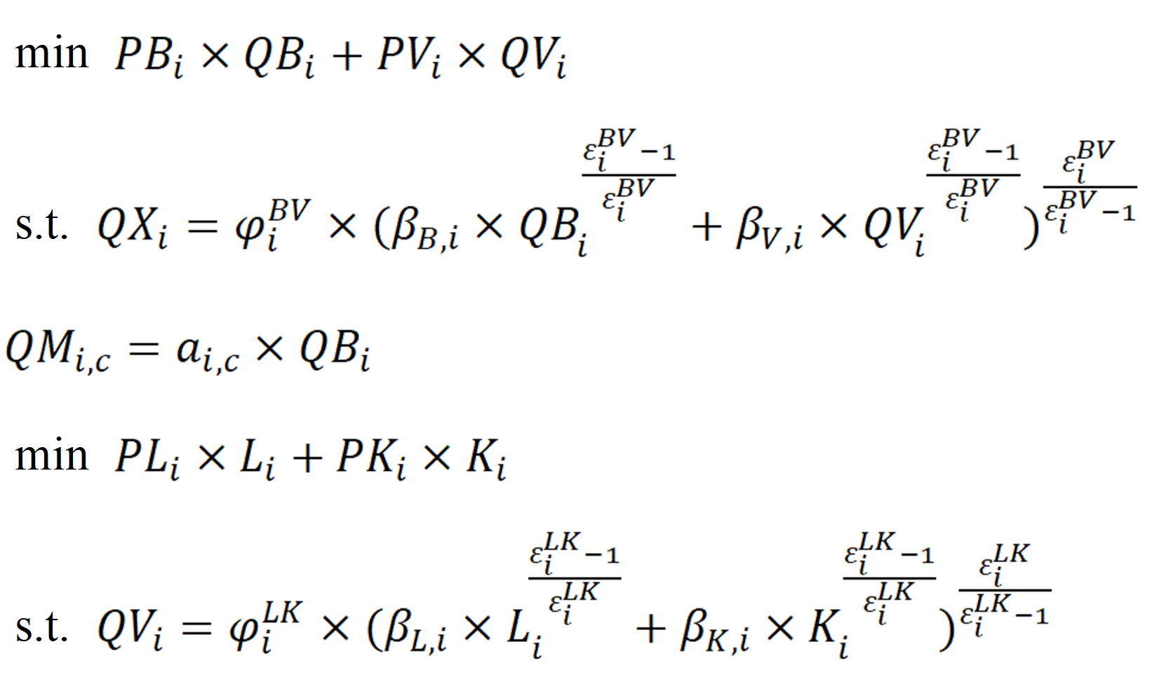
假设市场结构是完全竞争的,每个生产部门只有一个竞争性企业且只生产一种产品。所有的企业都是价格接受者,且追求生产成本最低这一原则。在这个模块,共有两层生产合成。顶层是将中间投入(QBi)与增加值(QVi)按照常数替代弹性(CES)函数合成各部门的总产出(QXi),且中间投入与增加值之间有一个低替代性。底层左侧是将购买来的原材料(QMi,c)按照列昂惕夫(Leontief)方程合成中间投入这一产品,即原材料之间并没有替代性。底层右侧是将劳动Li与资本Ki按照常数替代弹性(CES)函数合成增加值(QVi)。并且中央政府与地方政府会在该阶段征收增值税。

(2)贸易模块
生产结束后到消费者购买前的阶段中中间商与企业追求利润最大化。企业产品用于出口(QEi)和国内销售(QNXi),而用于国内销售的那部分又有一部分是在省外进行销售(QNEi)。当然在省内(QNi)也可以购买到省外(QNIi)的产品,以及进口(QIi)的产品。第一阶段和第二阶段考虑商品流出时,主要假设企业与中间商以常数转换弹性方程(CET)的形式进行商品在国内国外、省内省外的分配。第三阶段和第四阶段考虑商品流入时,主要假设中间商和消费者以常数替代弹性方程(CES)的形式进行国内国外商品、省内省外商品的购买,即阿明顿假设(Amington)。最终,这些商品被居民(CH)和政府消费(LCG和CCG)、被企业作为原材料重新投入生产(QM)以及作为存货(STO)与投资(QINV)。同时中央政府会在该阶段征收关税。

(3)居民模块
此模块主要讨论居民收入从何而来,而居民又如何去做储蓄消费的决策。首先,劳动收入(LS)和资本收入(KS)全部由居民所获得,地方政府也会对居民进行转移支付(TRI)。支出方面,居民会将一部分收入进行储蓄(HS),另一部分向政府交付个人所得税(DTAX),剩余部分作为消费支出(CH)。
LS + KS + TRI = HS + DTAX + CH
(4)政府模块
分为地方政府和中央政府。地方政府会征收增值税、个人所得税;中央政府会征收增值税、关税、个人所得税。与此同时,也考虑了中央政府对地方政府的补贴,地方政府对中央政府的上解行为。支出方面,政府会进行储蓄以及消费。
(5)闭合模块
主要考虑省际的收支平衡、国际收支平衡、商品市场的平衡、要素市场平衡和投资储蓄平衡。
(6)动态模块
采用递归动态,并假设劳动力和技术进步有固定的增长率,资本存量有积累。资本存量的递归变化用方程表示。
![]()
其中,ψi为规模参数,βi为份额参数,εi为弹性参数,ai,c为c部门在i商品的消费系数,Pi为价格,δi为资本折旧率,γi为基期年投资比例,θi为重建资金分配比例。